多个输入和输出通道
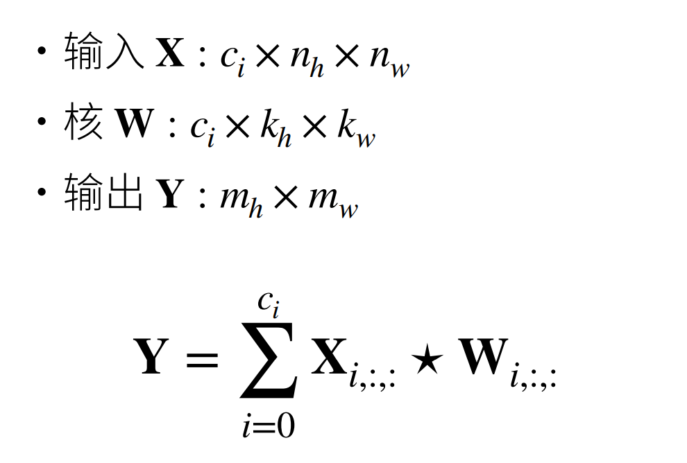
多个输入通道
- 彩色图像可能有RGB三个通道
- 转换为灰度会丢失信息

每个通道都有一个卷积核,结果是所有通道卷积结果的和

计算公式:

多个输出通道
无论有多少输入通道,到目前为止我们只用到单输出通道。
我们可以有多个三维卷积核,每个核生成一个输出通道:

- 每个输出通道可以识别特定模式

- 输入通道核识另别并组合输入中的模式
1 X 1 卷积层

二维卷积层

总结
- 输出通道数是卷积层的超参数
- 每个输入通道有独立的二维卷积核,所有通道结果相加得到一个输出通道结果
- 每个输出通道有独立的三维卷积核
备注:
- 输入通道数( Cin)是由“上一层的输出”或“原始数据”决定的,而不是由当前层的设计者自由选择的。
- 在深度学习中,超参数(Hyperparameter)通常指那些在训练开始前由人工设定、不通过反向传播学习、且可以自由选择以改变模型结构的参数。
- 卷积神经网络超参数:卷积核大小 (Kernel Size / Filter Size)、步长 (Stride)、填充 (Padding)、卷积核数量 (Number of Filters / Channels)
